合作客户/
拜耳公司 |
同济大学 |
联合大学 |
美国保洁 |
美国强生 |
瑞士罗氏 |
相关新闻Info
推荐新闻Info
-
> 复合驱中聚合物与阴离子表面活性剂的协同作用研究
> 化学组成对无碱铝硼硅OLED基板玻璃表面张力的影响——结果、结论
> 化学组成对无碱铝硼硅OLED基板玻璃表面张力的影响——摘要、实验方法
> 纳米渗吸驱油剂种类、降低界面张力和改变润湿性的能力等机理研究(三)
> 纳米渗吸驱油剂种类、降低界面张力和改变润湿性的能力等机理研究(二)
> 纳米渗吸驱油剂种类、降低界面张力和改变润湿性的能力等机理研究(一)
> 振荡频率、浓度、油相、界面张力对阴离子表面活性剂HABS和PS界面模量的影响(三)
> 振荡频率、浓度、油相、界面张力对阴离子表面活性剂HABS和PS界面模量的影响(二)
> 振荡频率、浓度、油相、界面张力对阴离子表面活性剂HABS和PS界面模量的影响(一)
> 3种助剂对螺虫乙酯和联苯菊酯药液表面张力、金钗石斛菲盾蚧防治效果的影响(三)
当前位置:首页 > 点点taptapBET下载
不同浓度6∶2氟调磺酸的表面张力测定仪器及结果(一)
来源:岩矿测试 浏览 504 次 发布时间:2025-05-12
全氟和多氟烷基物质(PFAS)具有亲水性功能团和疏水性烷基链,展现出优良的表面活性、热稳定性以及疏水疏油性,被广泛应用于表面活性剂、消防泡沫、农药化学品和纺织品等多个领域。然而,大部分PFAS的生物降解性较低,可以在环境中持久存在,且其具有生物积累性,可能引发包括免疫毒性、遗传毒性和致癌性在内的多种毒性效应。全氟烷基酸(PFAA)是研究最为广泛的一类PFAS,已在环境介质和生物体内被频繁检出,且其中广泛使用的全氟辛烷磺酸(PFOS)和全氟辛酸(PFOA)分别于2009年和2019年作为新兴持久性有机污染物被列入《斯德哥尔摩公约》,并被禁止或严格限制使用。因此,部分PFAA前体物作为PFOS的替代物被大量生产和使用,近些年被众多学者所关注,如6∶2氟调磺胺甜菜碱(6:2 FTAB)和6∶2氟调磺酸等。已有研究表明,PFAA前体物能够通过非生物或生物途径转化为半衰期更长、毒性更大的较稳定的PFAA,已成为地下水PFAS大规模污染的主要间接来源。
6∶2氟调磺酸不仅是水成膜泡沫(AFFF)配方的直接添加组分,同时也是AFFF中其他PFAS,如6∶2氟调巯基烷基胺磺酸(6∶2 FtTAoS)和6∶2 FTAB在环境中的主要降解转化产物。该物质表现出持久性与生态毒性,且在环境中广泛分布,土壤作为其重要储库,能够长期向地表水和地下水释放污染物。尽管在特定环境条件下,6∶2氟调磺酸可能发生部分降解,但其整体的环境持久性仍导致持续污染风险。在消防训练场地、生产基地及机场附近的土壤和地下水中,均已检出6∶2氟调磺酸,在黄土高原的地下水中,主要检测到的PFAA前体物也为6∶2氟调磺酸。
然而,目前尚未有对6∶2氟调磺酸明确的环境控制标准,其污染源亦未得到有效阻断,对地下环境的影响范围持续扩大。因此,从保障饮用水安全和维护生态可持续性的角度出发,亟需对6∶2氟调磺酸的环境行为及其在包气带中的迁移规律进行深入的研究。目前,针对PFAA前体物的研究主要集中于其分析方法的开发、总量确定、空间分布特征、种类识别以及在多孔介质上的吸附和生物转化等方面,然而大多数研究仍处于初步探索阶段,关于其环境行为的系统性研究相对较缺乏。已有研究指出,多孔介质的有机质含量、颗粒粒径和含水率等因素显著影响传统PFAS的吸附和迁移特性。考虑到土壤作为环境中最重要的多孔介质体系之一,深入研究土壤理化性质对6∶2氟调磺酸迁移行为的调控机制显得尤为重要。这一认识对于准确预测其环境归趋及生态风险具有关键意义。
本研究旨在阐明6∶2氟调磺酸在土壤多相体系中的界面行为及影响因素。通过表面张力测定量化其表面活性,结合饱和条件下的混相驱替实验解析固-水界面吸附特征,并利用非饱和条件下的柱实验揭示气-水界面吸附对6∶2氟调磺酸滞留的关键作用。土壤样品采自中国山东省青岛市某农田的土壤剖面,自然风干后经干筛法分级为40~50目和50~60目两种粒径组分,在饱和及非饱和条件下对比其迁移特征,明确土壤颗粒粒径、有机质含量和含水率对6∶2氟调磺酸迁移的影响,为科学描述6∶2氟调磺酸在土壤中的归趋、评估其环境风险及制定污染控制策略提供理论依据。
1.实验部分
1.1标准溶液和主要试剂
6∶2氟调磺酸(纯度98%,CAS#27619-97-2)购自Macklin公司(中国),以0.01mol/L氯化钠溶液为溶剂稀释至目标浓度。作为实验目标污染物,用于研究其在特定条件下的迁移行为。
五氟苯甲酸(纯度98%,CAS#602-94-8)标准品同样由Macklin公司(中国)提供,在混相驱替柱实验中的目标浓度为120mg/L,以0.01mol/L氯化钠溶液为溶剂进行配制。作为所有柱实验的非反应性示踪剂(NRT),用于评估平流和分散过程对迁移的影响,排除化学反应对迁移影响的干扰。
0.01mol/L氯化钠溶液由超纯水作为溶剂进行配制,作为6∶2氟调磺酸和五氟苯甲酸的统一溶剂,确保离子强度与背景电解质浓度的一致性,减少实验变量,避免杂质干扰目标污染物的迁移与反应研究。
在受AFFF影响的地点以及附近的陆地和水生生态系统中,广泛检测到6∶2氟调磺酸,例如美国佛罗里达州廷德尔空军基地的地下水样品中,氟调磺酸总浓度范围为1100~14600µg/L,其中6∶2氟调磺酸占99%。在受污染的土壤中,6∶2氟调磺酸的浓度最高可达2101µg/kg。结果表明,6∶2氟调磺酸在土壤和地下水中的浓度可达100µg/kg和100µg/L以上。本次柱实验中使用的6∶2氟调磺酸输入浓度为100µg/L,符合现场观测的浓度范围。
1.2实验介质
本研究选用的两种多孔介质分别为QD1(表层20~40cm土壤)和QD2(地下50~100cm深层土壤),均采自青岛市崂山区某农田。经过自然风干后,将其筛分为40~50目和50~60目。实验选用土壤中的金属氧化物含量均较低,主要差异为有机质含量。土壤样品的性质见表1。
表1土壤样品性质
1.3表面张力测试
测定不同浓度6∶2氟调磺酸的表面张力,浓度为:0、0.001、0.01、0.1、0.5、1、5、10、20、50、80、100mg/L。控制样品温度为23±0.3℃左右,每组进行多次平行实验,直到获得三次及以上相近结果(偏差小于0.7%)。
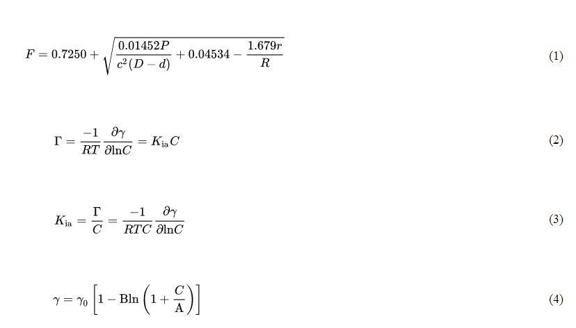
实际表面张力(γ)由仪器表面张力读数(P)、校正因子(F)和实验相关常数相乘得到。校正因子计算如公式(1)所示;气-水界面吸附系数通过Gibbs吸附等温方程得到,见公式(2)和公式(3);将Szyszkowski方程应用于表面张力数据,见公式(4),该方程提供了一种计算数值的统一方法。
式中:F为校正因子;P为刻度盘表面张力示数(dyn/cm);c为铂金圆环周长(cm);D为下层液体密度,即6:2氟调磺酸溶液密度(g/cm3);d为界面上层密度,即空气密度(g/cm3);r为铂金丝半径(cm);R为铂金圆环半径(cm)。Γ为表面过剩(mol/cm3);R为理想气体常数(erg/mol K);T为开氏温度(K);γ为实际表面张力(dyn/cm);C为6:2氟调磺酸溶液浓度(mol/cm3);Kia为气-水界面吸附系数(cm3/cm2)。γ0是6:2氟调磺酸在纯水中的表面张力,A和B分别是与特定化合物和相应系列性质有关的变量。采用最优拟合函数求得公式(3)所需的局部-斜率因子。





