合作客户/
拜耳公司 |
同济大学 |
联合大学 |
美国保洁 |
美国强生 |
瑞士罗氏 |
相关新闻Info
-
> 微胶囊聚合物溶液对延展型表面活性剂界面张力的影响(二)
> 耐高温采油菌株ZY-1:碳源对发酵液表面张力的影响
> 基于黄芪胶、指甲花提取物制备纳米天然表面活性剂的界面张力测量(二)
> 氨基改性硅油柔软剂的表面张力、透水率、分层测试(二)
> 克拉玛依油田:阴阳离子表面活性剂复配体系可实现超低界面张力
> 纯聚苯胺LB膜和聚苯胺与乙酸混合的LB膜制备、NO₂气体敏感特性研究(下)
> 温度对甜菜碱短链氟碳表面活性剂表面张力、铺展、发泡性能影响(三)
> 拉脱法测量:不同性能磁性液体的磁表面张力变化规律与影响因素(二)
> 高速运动的微小水滴撞击深水液池产生的空腔运动及形成机理(一)
> 基于黑磷纳米片及有机小分子组装单元的有序LB膜制备与性能研究
推荐新闻Info
-
> 复合驱中聚合物与阴离子表面活性剂的协同作用研究
> 化学组成对无碱铝硼硅OLED基板玻璃表面张力的影响——结果、结论
> 化学组成对无碱铝硼硅OLED基板玻璃表面张力的影响——摘要、实验方法
> 纳米渗吸驱油剂种类、降低界面张力和改变润湿性的能力等机理研究(三)
> 纳米渗吸驱油剂种类、降低界面张力和改变润湿性的能力等机理研究(二)
> 纳米渗吸驱油剂种类、降低界面张力和改变润湿性的能力等机理研究(一)
> 振荡频率、浓度、油相、界面张力对阴离子表面活性剂HABS和PS界面模量的影响(三)
> 振荡频率、浓度、油相、界面张力对阴离子表面活性剂HABS和PS界面模量的影响(二)
> 振荡频率、浓度、油相、界面张力对阴离子表面活性剂HABS和PS界面模量的影响(一)
> 3种助剂对螺虫乙酯和联苯菊酯药液表面张力、金钗石斛菲盾蚧防治效果的影响(三)
当前位置:首页 > 点点taptapBET下载
基于黄芪胶、指甲花提取物制备纳米天然表面活性剂的界面张力测量(二)
来源:petroleum期刊 油气 浏览 1040 次 发布时间:2024-06-27
本研究研究了石墨烯、二氧化钛(TiO2)和二氧化硅(SiO2)纳米颗粒、TiO2和石墨烯的复合纳米粒子以及指甲花提取物表面活性剂的纳米复合物对降低油水界面张力的影响。研究人员使用溶胶-凝胶技术合成上述纳米颗粒,并采用天然水性悬浮表面活性剂(黄芪胶提取物)对纳米表面活性剂的稳定性进行了研究。通过电导率、浊度和界面张力实验测定了指甲花提取物表面活性剂的CMC值。为了稳定重量百分比不同且纳米颗粒类型也不同的纳米表面活性剂,使用粒径和zeta电位测量来确定黄芪胶表面活性剂各自的最佳浓度。最后,通过界面张力测量,使用稳定的纳米表面活性剂来研究其对IFT的影响。
表1.指甲花和黄芪胶提取物的物性
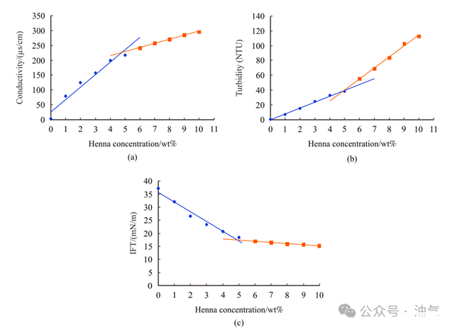
图1.(a)电导率、(b)浊度和(c)界面张力随指甲花溶液浓度的变化
表2.本研究中使用的纳米表面活性剂的物性
图2.IFT随纳米粒子浓度变化而变化。误差条代表对每种纳米表面活性剂进行的三种不同界面张力测量的标准偏差
图3.不同表面活性剂在煤油中作为油相的界面张力:Seidlitzia Rosmarinus、桑叶、洋甘菊、雪松和纳米流体、皂角苷(叙利亚枣树)和指甲花。误差线表示±5%的标准偏差
结论
由于全球能源需求迅速增长,且目前的EOR技术在最佳状态下能够将采收率提高到60%,因此工程师们也一直在寻找新方法增加油藏中圈闭油的产量。而这些新方法不仅要能提高原油采收率,而且必须具有环保性且经济效益好,还要能使用于油田。天然表面活性剂和纳米颗粒同时作为注入流体,可以最大程度上上满足上述要求。纳米流体驱的EOR工艺面临许多挑战和限制,包括纳米颗粒在溶液中的稳定性、纳米流体与地层岩石和储层流体的相互作用、制备和注入纳米流体的专用设备不足以及恶劣储层条件下的应用等。解决以上问题可以使纳米流体在提高EOR方面获得重大进展。实验证明,天然纳米表面活性剂可以很好地替代工业表面活性剂和聚合物。本研究的主要结论如下:
1.界面张力测量显示,将指甲花提取物添加到水中可以使油水之间的界面张力值从37mN/m降低到15.24mN/m。
2.在PUT化学实验室采用溶胶-凝胶法合成了TiO2、SiO2以及TiO2与石墨烯纳米粒子的纳米复合物,XRD、FESEM、EDAX和FTIR测试结果证实这些合成方法确实可行。
3.本研究首次使用一种名为黄芪胶提取物的天然水性悬浮表面活性剂来稳定不同的纳米流体,时间为24小时。通过粒度和zeta电位测试确定了该表面活性剂的最佳重量百分比。
4.界面张力测量表明,根据CMC值向指甲花提取物中添加纳米颗粒(纳米表面活性剂)对油和纳米表面活性剂之间的界面张力值有轻微影响,在最佳状态下,向指甲花提取液中添加1wt%的TiO2纳米颗粒后,界面张力从18.43mN/m降低到14.57mN/m。
5.单独的石墨烯纳米颗粒对降低油水界面张力的影响可以忽略不计。加之其与TiO2纳米颗粒(纯TiO2纳米颗粒)合成TiO2/石墨烯纳米复合材料时,不利于发挥作用。因此,石墨烯纳米颗粒对EOR来说在操作上和经济上都不可行。
6.TiO2纳米表面活性剂是降低油水界面张力第二好的天然表面活性剂,其效果与工业表面活性剂一样突出。





