合作客户/
拜耳公司 |
同济大学 |
联合大学 |
美国保洁 |
美国强生 |
瑞士罗氏 |
相关新闻Info
-
> 带油涂装涂料的优缺点、表面性能及研究
> 全自动表面张力仪的测试方法
> 基于表面张力仪等研究常用农药和表面活性剂在辣椒叶面的润湿能力——结果与分析、结论
> 不同助剂及浓度对IDK120-025型和LU120-015型喷头雾化效果的影响(一)
> 不同类型的聚醚类非离子破乳剂对PPG-稀释原油界面膜性质的影响(下)
> 氟硅表面活性剂(FSS)水溶液表面张力、发泡力、乳化力测定(二)
> 不同浓度6∶2氟调磺酸的表面张力测定仪器及结果(一)
> 表面张力对液滴形变的影响规律
> 基于表面张力的开放式微流体平台,利用微柱重建三维肺部细胞微环境
> 气液液微分散体系的微流控制备方法及在稀土离子萃取领域的应用(下)
推荐新闻Info
-
> 复合驱中聚合物与阴离子表面活性剂的协同作用研究
> 化学组成对无碱铝硼硅OLED基板玻璃表面张力的影响——结果、结论
> 化学组成对无碱铝硼硅OLED基板玻璃表面张力的影响——摘要、实验方法
> 纳米渗吸驱油剂种类、降低界面张力和改变润湿性的能力等机理研究(三)
> 纳米渗吸驱油剂种类、降低界面张力和改变润湿性的能力等机理研究(二)
> 纳米渗吸驱油剂种类、降低界面张力和改变润湿性的能力等机理研究(一)
> 振荡频率、浓度、油相、界面张力对阴离子表面活性剂HABS和PS界面模量的影响(三)
> 振荡频率、浓度、油相、界面张力对阴离子表面活性剂HABS和PS界面模量的影响(二)
> 振荡频率、浓度、油相、界面张力对阴离子表面活性剂HABS和PS界面模量的影响(一)
> 3种助剂对螺虫乙酯和联苯菊酯药液表面张力、金钗石斛菲盾蚧防治效果的影响(三)
当前位置:首页 > 点点taptapBET下载
3种增效剂对灭草松AS、草铵膦AS、高效氟吡甲禾灵EC增效作用及表面张力影响(二)
来源:农药学学报 浏览 350 次 发布时间:2025-07-21
1.2试验方法
试验设计及药剂处理如表1所示。
1.2.1静态表面张力测定参照文献方法测定。在(25±1)℃下,用0.3 mm的铂金环(外径20.30 mm,周长61.89 mm,密度0.998 g/mL)在全自动张力仪上先用纯水进行校准,然后测定表1中15种处理的静态表面张力,每个试验至少重复3次,结果取平均值,用Origin Pro软件(9.0版,OriginLab公司)处理数据。
表1试验设计及药剂处理
1.2.2动态表面张力测定在动态表面张力仪上采用最大气泡压力法测定,毛细管半径为0.345 mm,温度(25±1)℃,测定气泡表面寿命范围为10~10 000 ms。样品测量之前用纯水进行校准,测量完毕后使用Origin Pro软件(9.0版,OriginLab公司)处理数据。
1.2.3干燥度测定在(25±1)℃下,取2μL
待测样品滴于激光正下方进行检测,并以纯水作为对照。测量完毕后使用Origin Pro软件(9.0版,OriginLab公司)处理数据。
1.2.4接触角测定选取新鲜且洁净的均为6叶期的稗草和龙葵叶片,避开叶脉和病斑,选取平整部分剪取小块的叶肉,滴加5μL待测样品,10 s后记录接触角大小,至少重复3次,计算平均接触角。
1.2.5黏附张力和黏附功的计算将平均静态表面张力值和平均接触角代入润湿方程:
式中:β为药液的黏附张力,mN/m;Wa为药液的黏附功,mJ/m2;θ为液滴在叶片上的接触角,°;γ为药液的表面张力,mN/m。
1.2.6防治效果对表1中处理4~15进行防治效果评价试验,处理4~7为龙葵各4盆,处理8~11为稗草和龙葵各4盆,处理12~15为稗草各4盆,参照行业标准,采用盆栽茎叶处理法,于药后5、9、16和23 d调查,目测各处理间杂草防效的差异,记录杂草中毒症状和死亡情况,于最后一次观察后剪取存活靶标杂草地上部分并称取鲜重,按公式(3)计算鲜重防效(E)。
式中:mCK为空白对照的活草鲜重,mg;mPT为处理残存的杂草鲜重,mg。试验数据采用DPS标准统计软件和邓肯式新复极差法进行显著性分析和综合评估。
2结果与分析
2.1静态表面张力
按表1的试验设计及药剂处理配制好待测样品,测得的静态表面张力如表2所示。可见:处理3降低水的静态表面张力的能力明显弱于处理1和处理2。与未添加增效剂的处理相比,添加3种增效剂后的静态表面张力均有降低,其中2#增效剂的效果最好。
表2 15种处理的静态表面张力数据
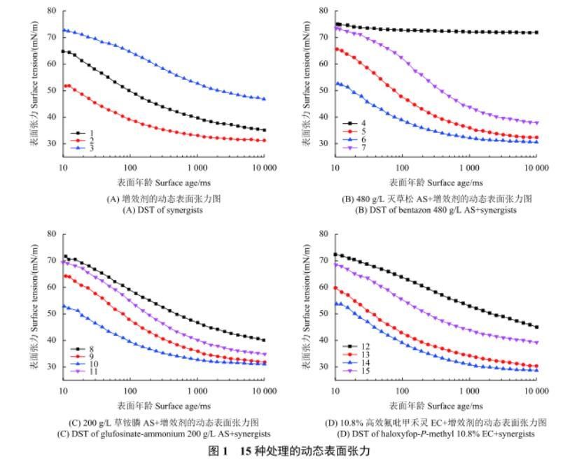
2.2动态表面张力
测定结果如图1(A)所示:处理2降低表面张力的速度最快,且在10 000 ms时表面张力达到最小值,处理3降低表面张力的速度最慢,说明2#增效剂的效果最好,3#增效剂最差。与未添加增效剂的处理(4,8,12)相比,添加增效剂后除草剂表面张力的降低速度更快,10 000 ms时所达到的静态表面张力值也更小,其中也是2#增效剂的效果最好。
图1 15种处理的动态表面张力
2.3动态干燥度
以水的干燥时间为对照,3种增效剂、除草剂及分别添加3种增效剂的除草剂的干燥时间如图2所示,样品的干燥时间与水的相差不大,均为20 min左右,说明增效剂对干燥度的影响不大。
图2 15种处理的动态干燥度
2.4接触角
植物叶片性质的不同会影响药液的润湿和持留能力。接触角测定结果(表3)显示:无论靶标作物是禾本科的稗草还是阔叶科的龙葵,2#增效剂的接触角均最小,且3种除草剂中添加2#增效剂后接触角减小的程度最大(6,10,14),添加3#增效剂后接触角减小的程度最小,因此,2#增效剂减小接触角的性能最好。
表3 15种处理作用于靶标作物时的接触角





